TGK-Planner无人机运动规划算法解读
高速移动无人机的在线路径规划一直是学界当前研究的难点,引起了大量机器人行业的研究人员与工程师的关注。然而无人机的计算资源有限,要在短时间内规划出一条安全可执行的路径,这就要求无人机的运动规划算法必须轻型而有效。本文将介绍一种无人机的在线路径规划算法 TGK-Planner,希望能给开发者提供一些解决思路。
TGK-Planner简介
TGK-Planner 为浙江大学 Fast Lab 提出的一种轻型有效的拓扑引导的无人机路径规划算法,用于具有有限机载计算资源的四旋翼无人机在线飞行。该算法结构遵循传统的前后端工作流程,采用新颖的设计来提高寻路和轨迹优化子模块的鲁棒性和效率。
首先在前端部分使用拓扑引导图来粗略的捕捉环境结构,并指导基于采样的动态规划器进行状态采样,给出一条粗略的全局避障路径。然后在后端优化框架中改进轨迹的平滑性和连续性,并且将优化的轨迹曲线往前端的无碰撞轨迹曲线吸引。下面我们将TGK-Planner算法分为前端路径规划以及后端轨迹优化两部分来进行讲解。
前端路径规划
TGK-Planner 的前端轨迹规划部分,是一个改进的Kinodynamic RRT*采样算法,其主要改进的地方在于环境引导采样策略。前端部分的算法步骤如下所示:

1、首先不考虑障碍物,直接规划出一条从起点到终点的路径,如上图红色曲线所示;
2、沿着规划的路径,记录路径曲线进出障碍物的交点,并将每一对交点连接起来,如上图蓝色虚线所示;
3、沿着蓝色虚线的法向方向进行双向延伸射线,射线端点延伸到离开障碍物的栅格为止,如上图橘色虚线所示;
4、将起点、终点以及延伸的射线端点连接起来,最后可以获得一块包裹障碍物的区域,如上图橘色实线所示;
5、在橘色实现区域外围进行 Kinodynamic RRT* 状态采样,通过较少的时间花费可以得到一条粗略的无碰撞轨迹。
通过前端的轨迹规划,我们可以得到一条安全无碰撞的粗略轨迹,该轨迹的位移和速度是连续的,但分段轨迹的连接点上其加速度是不连续的,这会导致姿态抖动,并对无人机控制造成干扰。
后端轨迹优化
优化框架
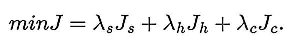
无人机的轨迹可以用多项式来表达,通过后端的优化框架,可以改进无人机轨迹的平滑性以及无人机加速度的连续性,让无人机更加平稳飞行。后端的轨迹优化可以考虑为一个无约束的优化问题,其代价函数可以表示为:

代价函数考虑了三项目标函数,J_s 表示为光滑项代价函数,J_h 表示为优化轨迹与前端全局轨迹的差异,J_c 为惩罚分段轨迹之间的加速度不连续性。
1、光滑项惩罚:无人机轨迹使用高阶多项式表示,将轨迹的高阶导数作为控制输入,最小化高阶导数能够使得整段轨迹控制能量小,并使无人机的整段轨迹更加光滑。
2、差异性惩罚:由于前端部分规划的全局路径是安全无碰撞的,那么就可以通过惩罚优化后的曲线与前端规划轨迹的差异性,将优化的轨迹曲线吸引到前端规划的曲线位置上,这样就可以保障优化后的曲线也是安全无碰撞的,且实现十分轻型高效,无需太多计算资源。
3、连续性惩罚:由于无人机前端规划分段轨迹的连接点的加速度不连续,通过惩罚分段连接点的两端加速度差异,迫使无人机轨迹连接点的加速度趋于相同,保证无人机的平稳飞行。
本期内容就先分享到这里,若大家对于路径规划还不够了解,可以先阅读上一期阿木分享的文章“常用的路径规划算法浅析”。有一定基础的开发者可以进一步了解TGK-Planner无人机规划算法,相关论文及代码地址如下:
TGK-Planner Paper:https://arxiv.org/abs/2008.03468
Code:https://github.com/ZJU-FAST-Lab/TGK-Planner
Video:https://www.bilibili.com/video/BV1mi4y1c78T
